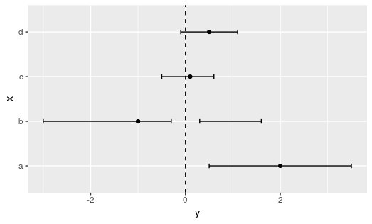
"Intervalos" de confianza creativos que excluyen el 0
Es el de b:

(A ver cuál es el primero de mis excolegas que protesta que pinto la unión de dos intervalos de confianza y no un intervalo propiamente dicho).
Ahora un poco más en serio: esta entrada se me ocurrió mientras pensaba en las distintas opciones existentes para crear intervalos de confianza, desde las canónicas (simétricos, de longitud mínima) a cualquier otra elección de algo que contenga la debida cantidad de probabilidad.
Y otra nota: ¿y por qué debería ser un intervalo de longitud mínima conexo? Al final, ¿resultará que mi intervalo de confianza de fantasía podría ser razonable en algún caso? Es decir, ¿podríamos crear un modelo en el que la distribución a posteriori de un coeficiente fuese bimodal? ¿De alguna manera distinta que la de imponer una priori bimodal fortísima?