El modelo SIR con inferencia
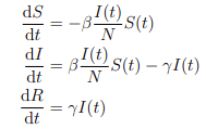
El modelo SIR es deductivo: dados una serie de parámetros, plantea una ecuación diferencial cuya solución es perfectamente limpia y determinista, tal como gusta a matemáticos y físicos:

Pero, ¿quién y cómo le pone al gato el cascabel de determinar los parámetros más adecuados para el modelo? Los parámetros son inciertos, ruidosos y producto de los datos que el modelo mismo quiere representar. Lo suyo sería enlazar la ecuación diferencial

con los datos observados

y modelar todo conjuntamente. Como aquí.