Causalidad e individualismo metodológico
Frecuentemente, se postulan y estudian relaciones causales del tipo

donde, por simplificar, se han eliminado las variables de confusión, etc. para mostrar su versión más estilizada, la que acaba en los abstracts.
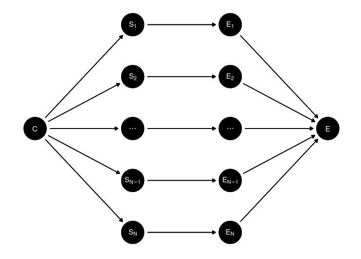
Frecuentemente, además, $C$ y $E$ hacen referencia a magnitudes macro: una campaña de publicidad y los ingresos; una medida económica y el PIB; la presión y el volumen de un gas, etc. Todos sabemos que en esos casos, el diagrama anterior es solo una manera abreviada de representar el verdadero diagrama causal,

(que, de nuevo, puede estar decorado con variables confusoras, etc. adicionales) donde los $S_i$ son sujetos que conforman una población determinada y para cada uno de los cuales la causa $C$ induce un efecto parcial $E_i$. Estos $E_i$ quedan luego subsumidos en una variable macro $E$ —que podría ser en muchos casos una estimación de su suma—.
Esta observación, aunque obvia, es de lo más inhabitual. Tanto, que tiene nombre: individualismo metodológico (aunque en física se la conozca como mecánica estadística). Y tiene una serie de consecuencias, entre las que destaco dos.
La primera que —en general, aunque pudiera haber algún tipo de excepción cuando los $S_i$ son sumamente homogéneos— no puede hablarse del efecto $E$ sino de su distribución. Decir que el efecto de $C$ es positivo (i.e., > 0) es tan engañoso (o absurdo) como decir que la altura de los españoles es superior a 1.60 m.
La segunda consecuencia es que para poder postular un efecto de $C$ sobre $E$ habría que poder identificar ya no solo una mayoría de sujetos $S_i$ sobre los que $C$ produzca un efecto determinado $E_i$ sino, al menos, uno. Por ejemplo, si a una hipotética reforma laboral hubiera de poder encontrársele algún efecto positivo en la contratación, habríamos de ser capaces de encontrar alguna empresa $S_i$, una al menos, que incrementase la plantilla a causa de dicha reforma. Pero ocurre con demasiada frecuencia que nos intentan dar por buenos ciertos efectos causales usando todo tipo de argucias numéricas pero uno, por más que piense, es incapaz de imaginarse una coyuntura concreta $S_i$ donde aquella causa produzca el efecto anunciado.
Termino aquí por no alargarme. Es probable que vuelva a tratar el tema del individualismo metodológico próximamente. Creo que será ilustrativo dar a conocer cómo tropecé con él y criticar tanto a sus críticos como a los más conocidos y menos razonables de sus particularísimos adeptos. Pero por hoy, vale.