Causalidad: un (otro) ejemplo de libro
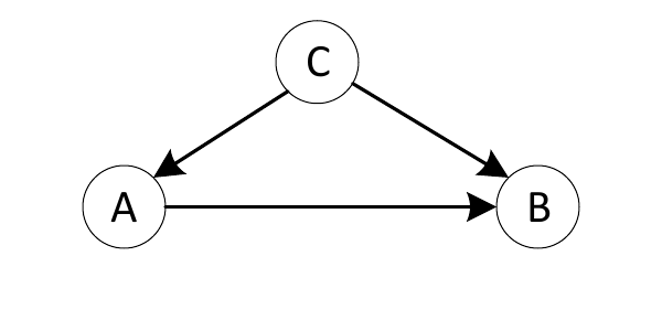
A pesar de lo intrincados que resultan muchos de los diagramas causales que aparecen en los textos, en la práctica abundan las cuestiones y los estudios alrededor de sus formulaciones más simples, es decir, la representada por

Este gráfico se resumen varios posibles escenarios:
- A causa B.
- Tanto A como B están causados por un tercer factor C.
- O, incluso, una mezcla de los dos anteriores.
Las discusiones alrededor de estos diagramas puede ser bizantina (y, generalmente, lo es), debido principalmente al interés que tienen tirios o troyanos en poner en marcha las acciones que parecen controlar el proceso según se dé importancia a unos u otros factores.