Una macro para generar titulares sobre resultados de encuestas

Tropecé el otro día con un artículo en el NYT del que reproduzco (incluido el enlace) un párrafo: Only 23 percent of respondents would now vote for the Popular Party, according to a telephone survey by Metroscopia, a pollster, and published by El País this month. That is near the lowest level since Mr. Rajoy came to power in November 2011. Meanwhile, 86 percent of those surveyed said that they did not trust Mr. Rajoy. The survey was based on interviews with 1,000 adults and has a margin of sampling error of plus or minus 3 percentage points. ...

22 de julio de 2013 · Carlos J. Gil Bellosta

Conceptos estadísticos que desaprender: suficiencia

Leí hace unos días en alguna bitácora que el autor, de tener que retirarse una larga temporada a una isla desierta, llevaría consigo un ejemplar de la inferencia estadística de Casella y Berger. Así que me picó la curiosidad, lo bajé de internet y comencé a leerlo por el primer capítulo que me pareció interesante, el sexto, titulado Principles of Data Reduction. El título es sugerente y da la impresión de que nos enseñará cómo sintetizar conjuntos de datos grandes con unos pocos indicadores. Y comienza por introducir el concepto de suficiencia que, recuerdo, constaba en aquel terrible libro mío de estadística de segundo de carrera. Repasémoslo: ...

9 de julio de 2013 · Carlos J. Gil Bellosta

Teruel, Orense, Palencia... y adenoidectomías

Quien haya recorrido Teruel, Orense, Palencia, la zona de Almadén y otras partes del interior de España abandonadas a su suerte desde hace siglos no habrá visto demasiado crío. Me acabo de enterar que a lo que se conoce como operar de vegetaciones recibe el nombre de adenoidectomía. Y he visto el mapa en Nada es Gratis. Me ha dado por pensar si los autores (del gráfico) estuvieron atentos a mi bitácora cuando escribí esto. ...

14 de junio de 2013 · Carlos J. Gil Bellosta

Vídeo de mi charla en el Taller InnovaData de periodismo de datos

Ayer, tal y como anuncié el otro día, participé en el Taller InnovaData de periodismo de datos. El vídeo de mi intervención (a partir del minuto 2:02:00 aproximadamente) puede verse en Las diapositivas de la charla (que en el vídeo, desgraciadamente, son, por así decirlo, asíncronas) pueden descargarse aquí.

29 de mayo de 2013 · Carlos J. Gil Bellosta

Charla el día 27 en el Taller InnovaData de periodismo de datos

El lunes que viene, día 27 de mayo, impartiré un taller de… bueno, según el programa, de Principios básicos de estadística. En realidad quiero hablar principalmente de cómo evitar incurrir en el poco conocido error de tipo III —dar la respuesta correcta al problema equivocado— y, en particular, de tres de los fenómenos que nos conducen hacia él: La inextricable **multidimensionalidad **de la realidad. Nuestra atávica aversión a la incertidumbre. El poco temor de Dios con que tomamos el nombre de la causalidad en vano. La charla formará parte del taller con el que arrancará la competición de periodismo de datos InnovaData , coorganizada por BBVA y la Fundación Ciudadana Civio, que han tenido la gentileza de invitarme. ...

22 de mayo de 2013 · Carlos J. Gil Bellosta

Más sobre la ley de Benford (III): la "mágica" propiedad de los logaritmos decimales

Esta entrada tiene como prerrequisito las dos que la preceden: esta y esta. Si $x_1, \dots, x_n$ es una muestra de una distribución de probabilidad $X$ regular y extendida, entonces $\log_{10}x_1, \dots, \log_{10}x_n$ es una muestra de $\log_{10}X$, que es otra distribución de probabilidad regular (porque el logaritmo es una función creciente) y extendida (aunque hay que convenir que menos: el logaritmo achica los números grandes). Por lo tanto, cabe esperar que también la parte decimal de $\log_{10}x_1, \dots, \log_{10}x_n$ tenga una distribución uniforme sobre el intervalo [0,1). Luego cumple la Ley de Benford (véase la condición suficiente). Esto se debe a esa (¿contraintuitiva?) propiedad del logaritmo decimal: convertir el dígito más significativo de un número, el primero, en la parte menos significativa de su logaritmo, la que sigue a la coma. ...

10 de mayo de 2013 · Carlos J. Gil Bellosta

Más sobre la ley de Benford (II): la distribución de la parte fraccionaria

Continuamos hoy nuestra serie sobre la llamada ley de Benford discutiendo la distribución de la parte fraccionaria de las muestras de una distribución. La parte fraccionaria de un número es, para entendernos, lo que va detrás de la coma. Técnicamente, x - floor(x). ¿Le sorprendería a alguien la parte fraccionaria de una secuencia aleatoria de números no tenga una distribución uniforme sobre [0,1)? Obviamente, si los números son enteros no. ¿Pero si siguen la distribución normal? Se puede probar, de hecho, que si la serie sigue una distribución de probabilidad que sea ...

3 de mayo de 2013 · Carlos J. Gil Bellosta

Por qué no deberías compartir tu código: diez motivos

Fresco aún en nuestro recuerdo el fiasco de Excel del que nos ocupamos hace unos días, los partidarios de la reproducibilidad, el software subversivo y gratuito, los detractores de las herramientas propietarias y otras estirpes han agudizado su campaña en pro de lo que denominan una mayor transparencia en el proceso de creación científica. Como contrapeso a tanto despropósito, traigo a la consideración de mis lectores una visión alternativa que desnuda los desatinos de la caterva y recoge diez motivos incontestables por los que compartir código es una sinrazón. Es obra de Randall J. LeVeque que puede ser consultada como artículo o, para los impacientes, como presentación.

30 de abril de 2013 · Carlos J. Gil Bellosta

El casco y las bicis: no porque no

Vaya por delante que: monto y me traslado en bici por Madrid siempre que razonablemente puedo (que son las menos de las veces) simpre uso casco (más que por la improbable protección que pueda darme, por poder reforzar el alegato, en caso de incidente, de que soy un ciudadano responsable) tengo en el cuerpo dos cicatrices de más y otros tantos dientes de menos a resultas de diversos accidentes no tengo tiempo de discurrir cuál sería mi postura sobre la prohibición de circular en bici sin casco: es asunto que no me afecta en absoluto por lo arriba indicado. Sentado lo cual, entro en materia. Y es la del aburridor y artificial debate que se crea siempre que ...

29 de abril de 2013 · Carlos J. Gil Bellosta

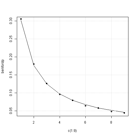
Más sobre la ley de Benford (I): una condición suficiente

Las circunstancias —frente a las que soy dócil como el que más— me conducen a escribir de nuevo sobre la Ley de Benford. En concreto, voy a traer a la atención de mis lectores una condición suficiente para que se cumpla. Y de ella extraeremos conclusiones tal vez sorprendentes en sucesivas entradas de la serie que con esta inicio. Dado un número (p.e., 1234), lo podemos descomponer en dos: una potencia de 10 y otro entre 0 y 10: ...

16 de abril de 2013 · Carlos J. Gil Bellosta