Causalidad o asociación: indicios de la primera

Distinguir adecuadamente causalidad de asociación es un tema sobre el que se han vertido ríos de tinta. Parte de la formación de un estadístico consiste en reconfigurar su arquitectura neuronal de manera que sienta infinito recelo ante proclamas de causalidad de una manera tan instintiva como la del perro de Paulov. Esta cautela es sin duda necesaria y ha liberado al mundo de infinidad de resultados espurios. Sin embargo, ha incrementado notablemente los que podríamos llamar errores de tipo II. ...

20 de abril de 2011 · Carlos J. Gil Bellosta

¿Cuál es la esencia de la estadística?

¿Qué tienen que ver minería de datos y estadística? Podría opinar personalmente sobre el asunto, pero serviré en esta ocasión de pregonero de las ideas que Jerome H. Friedman dejó escritas al respecto. Aunque el artículo tiene ya sus casi quince años, las ideas que contiene están todavía en plena vigencia. Comienza el artículo Friedman con un ejercicio irónico acerca de la fiebre del oro que generó (y sigue generando muchos años después) esa disciplina que se dio en llamar minería de datos. Así, se plantea hasta qué punto se trata más de una actividad comercial que propiamente académica; y al respecto comenta cómo, al igual que en casi todas las fiebres del oro que han existido la verdadera rentabilidad está en mining the miners. En plata, sacarles la ídem a los mineros; en particular, vendiéndoles herramientas taumatúrgicas a precios aúricos. ...

6 de abril de 2011 · Carlos J. Gil Bellosta

Chuletario de estadística con SAS

Los pocos usuarios de SAS que lo utilizan para hacer propiamente estadística con él cuentan con un chuletario muy útil que relaciona temas de estadística con funciones, código y documentación relativa al asunto (dentro del universo SAS, por supuesto). Por ejemplo, para el llamado Bivariate Tobit model remite al procedimiento SAS/ETS PROC QLIM. ¿Conocerá alguno de mis lectores un recurso similar para R? Más aún, ¿se animaría alguno a emprenderlo?

30 de marzo de 2011 · Carlos J. Gil Bellosta

¿Dónde obtengo mis datos? ¡Pregunta!

Se ha hablado mucho de la avalancha de la información, de la web semántica, del gobierno abierto, del acceso libre a los datos, de compartirlos, etc. Pero a la hora de la verdad, ¿dónde puedo obtener los datos que necesito aquí y ahora para un fin concreto? La respuesta no es sencilla. Por supuesto, tienes los buscadores. Hay información que uno sabe que consta en el INE o tal vez en las páginas de un determinado ministerio u organismo público. Tal vez puedes llamar a ese amigo tuyo que tal vez lo sepa. ...

24 de marzo de 2011 · Carlos J. Gil Bellosta

Estadística para periodistas y escritores

Hace tiempo, mucho ya, decidí que no me interesaba desarrollar una carrera dentro de la academia. Pesó en la decisión el hecho de que entre las cosas punteras, entre el estado del arte a cuyo progreso se dedican nuestras universidades y lo que de ellas absorbe la sociedad (léase: empresas, instituciones oficiales, la prensa, el vulgo) mediaba una extensa tierra de nadie en la que poder plantar mi alegórica tienda. ...

21 de marzo de 2011 · Carlos J. Gil Bellosta

¿Casi todos los resultados científicos que se publican son falsos?

La falsabilidad es una exigencia de la ciencia que la distingue, por ejemplo, de la seudociencia. Todo enunciado de valor científico tiene que ser potencialmente refutable. Los resultados científicos, de alguna manera, no son tanto ciertos como refutables y no refutados. El trabajo de los científicos consiste en dar con enunciados refutables lo más difíciles posible de refutar. Piénsese en la ley de gravitación universal de Newton: sin ser cierta, estuvo en pie durante siglos. ...

3 de marzo de 2011 · Carlos J. Gil Bellosta

¿Tartas? No gracias

Voy a dejar aquí escrito mi argumento. Para que conste. Para tener que repetirlo cada vez que un exceladicto osa objetar. Por pereza. Para no tener sino que dar el enlace y pasar a otra cosa. Porque vamos para la primavera y es mejor dedicar el tiempo a cosas mejores que a dar vueltas sobre el mismo asunto. El uso de tartas para visualizar fracciones está sancionado (acepción segunda) por la escuela básica: ¿quién no las vio representadas en una pizarra cuando oyó por primera vez en su vida mencionarlas palabras tres octavos, numerador y denominador? El que la formación matemática de muchos no llegase mucho más lejos unido a su prominente presencia en el endiosado Excel ha perpetuado su uso en los negocios y publicaciones para el gran público. ...

2 de marzo de 2011 · Carlos J. Gil Bellosta

Centenario de la muerte de Galton

Al cumplirse cien años de la muerte de Francis Galton (1822-1911), mostraré una animación relacionada con una de sus más curiosas invenciones, el quincunx o quincuncio: El interesado puede también descargar el código de R utilizado para generar la animación.

23 de febrero de 2011 · Carlos J. Gil Bellosta

Solo quiero saber si basta con tres casos

Os puedo jurar que lo he vivido. Así, literalmente. Tenían que ser tres y no más. Más vídeos similares, aquí.

22 de febrero de 2011 · Carlos J. Gil Bellosta

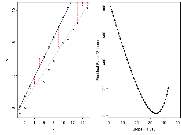
Animaciones estadísticas con R

He encontrado una página que será, seguro, del gusto de mis lectores. Contiene animaciones en R tales desarrolladas con el paquete animation tales como ésta sobre la optimización por mínimos cuadrados o esta otra sobre k-medias. ¡A disfrutar!

16 de febrero de 2011 · Carlos J. Gil Bellosta