UMAP, tSNE y todas esas cosas
Estaba repasando cosas sobre reducción de la dimensionalidad y, en concreto, UMAP y tSNE. Me ha parecido conveniente replantear las cosas sobre primeros principios para que todo se entienda mejor.
El problema es el siguiente:
- Tenemos $K$ puntos $x_i$ en un espacio de dimensión $N$.
- Buscamos su correspondencia con otros $K$ puntos $y_i$ en un espacio de dimensión $n « N$.
- De manera que las configuraciones de los $x_i$ y los $y_i$ sean similares en el sentido de que la matriz de distancias $(d(x_i,x_j))$ sea parecida a la $(d(y_i, y_j))$. Eso quiere decir que parejas de puntos próximos en el primer espacio deberían mapearse en parejas de puntos próximos en el segundo; parejas de puntos alejados en parejas de puntos alejados, etc.
En concreto, se buscaría minimizar algo así como, en primera aproximación,
$$\sum_{ij} \left( d(x_i, x_j) - d(y_i, y_j) \right)^2$$
y en posibles refinamientos, otras expresiones análogas que den o quiten peso dependiendo de distintos factores. Por ejemplo,
$$\sum_{ij} \frac{\left| d(x_i, x_j) - d(y_i, y_j) \right|}{d(x_i, x_j)^2} $$
donde con respecto a la fórmula anterior se ha cambiad la distancia $L^2$ por la $L^1$ y se ha dado más peso a las parejas de puntos próximos que a las alejadas. Y si nos queremos volver aún más locos, podemos escribir algo así como
$$\sum_{ij} w(d(x_i, x_j)) f(d(x_i, x_j), d(y_i, y_j))$$
donde $w$ es un peso (una función positiva y monótona) y $f$ es una función positiva, creciente y que vale cero cuando sus argumentos son iguales.
Variaciones de lo anterior, infinitas y para todo tipo de gustos y colores. Faltaría, eso sí, implementar el proceso de optimización para identificar esos puntos $y_i$ que minimizan las correspondientes funciones de pérdida.
De todas las variaciones conceptualmente existentes del esquema previo, hay dos que por algún motivo han cautivado a los que se dedican a algunas disciplinas: UMAP y tSNE.
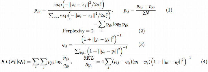
tSNE, primero. Según How Exactly UMAP Works, tSNE está basado en

donde:
- $p_ij$, la ecuación (1), es $d(x_i, x_j)$.
- $q_ij$, la ecuación (3), es $d(y_i, j_j)$.
- En la distancia final, $p_ij$ es el peso y $f(a,b) = log(a/b)$.
Todo lo demás es comentario.
Y con respecto a UMAP, la novedad consiste en que
- $d(x_i, x_j)$ se construye utilizando $\exp((d(x_i, x_j) - \rho) / \sigma_i)$.
- $d(y_i, j_j)$ es $(1 + a(y_i - y_j)^{2b})^{-1}$ (sic)
- La distancia final vuelve a ser una versión (larga de escribir) de todo lo escrito más arriba.
Los méritos de uno u otro algoritmo deben discutirse en términos de cómo la elección de las distancias y los pesos involucrados cumplen dos objetivos concretos:
- Permiten una implementación eficiente del algoritmo, que pueda ejecutarse en un tiempo razonable con datos relativamente grandes.
- Los resultados finales son coherentes con las expectativas; de hecho, el artículo enlazado más arriba es una comparación de UMAP y tSNE en esos términos precisos: viendo cuál de los dos procedimientos devuelve unos resultados más acordes con lo que sus usuarios potenciales pueden estar esperando.
Nota final
Hay una incoherencia en mi argumentación de más arriba. En realidad, $f(x, y) = log(x/y)$ no es exactamente una de las funciones que cabe utilizar para medir la distancia entre $x$ e $y$. Pero llegado a este punto, pueden pasar dos cosas:
- Si has podido captar el problema, estoy seguro de que también intuyes cuál es la solución y por qué la objeción, en el fondo, no es relevante.
- Si no has captado el problema y das el argumento por bueno, habrás aplicado con éxito una de esas heurísticas provechosas que tanto gustan a los estudiosos de la racionalidad limitada.