EM (duro) a mano (y para humanos)
Dada una configuración de puntos tal como

puede pensarse que existen dos grupos (clústers los llaman casi todos menos el neotroll de estas páginas y algún otro purista) de puntos organizados alrededor de unas rectas que se adivinan.
Nos planteamos el problema de identificarlas y de asignar los puntos a su respectiva.
Una posible estrategia consiste en construir la verosimilitud asociada al problema y maximizarla. Esa verosimilitud dependería de muchos parámetros:
- El término independiente y la pendiente de la primera recta.
- El término independiente y la pendiente de la segunda recta.
- La asignación de cada punto a la recta que le corresponda.
- Además, como subproducto de los modelos lineales, las varianzas de sus respectivos errores.
No es en absoluto un problema de optimización bonito: intervienen muchas variables, muchas de las cuales son discretas. Más bien, es un infierno.
Pero tenemos una heurística a mano consistente en:
- Asignar puntos a grupos a voleo
- Ajustar las rectas correspondientes a ambos grupos
- Reasignar los puntos a los grupos de acuerdo con la recta que les caiga más cerca
- Reajustar las rectas
- Reasignar los puntos
- Reajustar las rectas
- Reasignar los puntos
- …
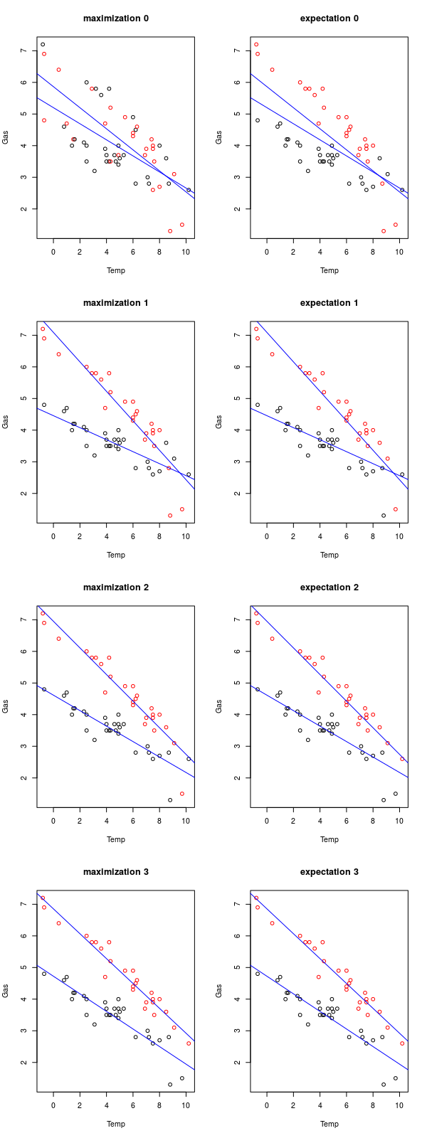
Todo lo anterior hasta que no haya más reasignaciones. El siguiente gráfico ilustra patosamente los pasos anteriores:

Notas varias:
- Los puntos no se asignan por cercanía de la que gastaba Euclides. De hecho, he usado cercanía impropiamente: lo que se busca realmente es la asignación más probable de acuerdo con el modelo probabilístico subyacente.
- El algoritmo se conoce como EM (expectation-maximization) del tipo duro. En la Wikipedia se cuentan cosas estupendas sobre él. Entre ellas, que las iteraciones incrementan estrictamente la verosimilitud de las configuraciones y el proceso termina. También advierte que puede quedar atrapado en un mínimo local. Algo de lo que puedo dar fe.
- En el fondo y así visto, el algoritmo EM duro es una versión guay de k-means.
- El algoritmo EM blando no usaría asignaciones discretas de puntos a su grupo sino pesos asociados a la probabilidad.
- No he dicho nada de las prioris que habría que usar para calcular más propiamente la asignación de puntos a clústers. Debería usarse.
- He usado el conjunto de datos
MASS:whiteside, que es muy simpático aunque nadie está seguro del todo de lo que contiene realmente.
Y el código, por referencia:
library(MASS)
library(plyr)
set.seed(134)
dat <- whiteside[, c("Temp", "Gas")]
n.clusters <- 2
cluster.id <- sample(1:n.clusters, nrow(dat), replace = T)
maximization <- function(cluster.id){
tmp <- cbind(dat, cluster.id)
res <- dlply(dat, .(cluster.id),
function(x) lm(Gas ~ Temp, data = x))
res
}
expectation <- function(modelos){
foo <- function(modelo){
sigma <- summary(modelo)$sigma
preds <- predict(modelo, newdata = dat)
probs <- mapply(function(x, mu)
dnorm(x, mean = mu, sd = sigma), dat$Temp, preds)
probs <- exp(-(preds - dat$Gas)^2)
}
tmp <- do.call(cbind, lapply(modelos, foo))
apply(tmp, 1, which.max)
}
prev.cluster.id <- cluster.id
i <- 0
par(mfrow=c(4,2))
while (TRUE){
plot(dat, col = prev.cluster.id, main = paste0("maximization ", i))
modelos <- maximization(cluster.id)
sapply(modelos, abline, col = "blue")
cluster.id <- expectation(modelos)
plot(dat, col = cluster.id, main = paste0("expectation ", i))
sapply(modelos, abline, col = "blue")
if (all(cluster.id == prev.cluster.id))
break
prev.cluster.id <- cluster.id
i <- i + 1
}